(Latest Revision: Nov 04, 2021)

SOLUTION TO:
CS 4440 Practice Exercise
Dijkstra's Algorithm Practice Problem


The Work



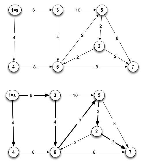
shortest path problem solution

A Figure Showing The Edges of The Shortest Paths



shortest path problem solution